
锂离子电池主要由正极、负极和电解液等部分构成,其中电解液虽然不提供容量,但是却承担着在正负极之间传导Li+的重要作用,因此锂离子电池的循环寿命和倍率性能等特性都与电解液之间有着密切的关系。由于电解液在锂离子电池工作的过程中会持续的在正负极发生氧化和还原反应,因此注液量过少对于锂离子电池的循环寿命不利,同时如果电解液数量过少,也会导致部分活性物质无法浸润,因此不利于电池容量的发挥,但是注液量过多也会造成锂离子电池能量密度下降,成本升高等问题,因此如何确定合适的注液量,对于锂离子电池在性能和成本之间的平衡就显得尤为重要。
近日,德国慕尼黑工业大学的FlorianJ. Gu?nter(第一作者,通讯作者)就对注液量对于锂离子电池浸润速度、能量密度和寿命性能的影响进行了详细的研究。实验中作者采用了软包电池作为研究对象,其中包含13片负极和12片正极,其中正极采用了NCM111材料,负极采用了石墨,正负极的基本参数如下表所示。采用的电解液为1mol浓度的LiPF6溶液(EC:EMC=3:7,2%的VC)。

为了保证电解液能够充分浸润电极,注液过程是在80mBar的高真空环境下进行的,电解液的用量可以通过下式进行计算,其中vf为体积比系数,范围为0.6-1.8,电池内部的微孔体积约为8.85ml,下表为采用不同体积比系数vf时电池的注液量与电池容量等基本信息。


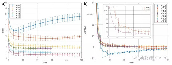
随着电解液浸润程度的增加,电池内能够参与反应的两相界面不断增加,因此如果我们采用交流阻抗手段对电池阻抗进行测量,就能够发现电池的高频阻抗在持续降低,这也为我们实时监测电池浸润提供了一种新的方式。从下图不同注液量后电池高频阻抗的变化能够看到注液量更多的情况下,电池在注液后高频阻抗也下降的更多,但是当电解液与微孔体积比系数增加到1以上时,电解液量增加对于降低高频阻抗就影响比较小。同时我们还能够注意到电解液量较少的电池在浸润过程中还有阻抗增加的情况,这主要是由于电解液量不足造成的。

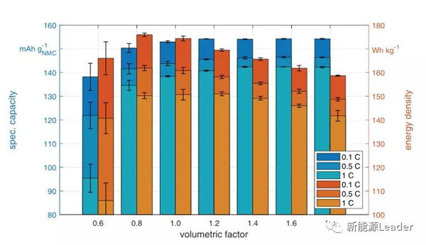
下图为不同电解液量对于电池在不同倍率下的可逆容量和能量密度的影响,理论上电解液只要填充掉电极和隔膜中所有的孔隙就可以,但是实际由于电极和隔膜之间仍然存在一定的间隙,电池实际需求的电解液量要大于1,我们看到当电解液体积比系数从0.6提高到1.2,电池在0.1C的可逆容量也在增加,但是继续增加注液量后电池的容量没有显著的增加,但是随着电解液数量的增加,电池的能量密度在不断降低。

下图为不同注液量电池在1C循环过程中不同倍率容量衰降情况,从图中能够注意到注液量比较少的0.6和0.8在经过50次循环后,可逆容量就发生了显著的衰降,特别是注液量最少的0.6电池的衰降尤为严重,这主要是由于电解液数量不足引起的浸润不充分造成,但是当电解液数量过多,达到1.6-1.8时,我们也能够同样观察到电池的衰降显著增加,作者认为这可能是由于电解液中过量的VC添加剂造成的。

下图为不同注液量的电池在不同寿命阶段的放电曲线,能够帮助我们更好的了解锂损失和电解液不足的影响,在循环第一周时,我们能够看到此时基本上没有Li损失,因此电解液量对电池性能的影响占主导地位,因此电池注液量越多,则电池的电压平台越高,电池容量越大。在经过100次循环后,注液量为0.6的电池已经失去了放电能力,注液量较多的电池(1.6和1.8)虽然在放电的前期仍然维持了较高的电压,但是放电后期电压快速衰降,因此电池的容量也较低,与注液量为0.8的电池的容量接近,注液量较多的电池损失的可逆容量可能来自于活性Li的损失,而注液量中等的电池(1.2和1.4)则仍然维持了较高的容量。但是在经过500次循环,虽然注液量为1.4的电池容量仍然最高,但是在放电的初期相比于电解液量较多的电池仍然出现了较多的电压衰降。

下图为不同注液量的电池恒压充电容量在电池容量中的占比,电池恒压充电容量占比主要反应电池充电过程中的极化情况,电池极化越大,则更早的进入到恒压充电阶段,因此恒压充电容量占比也就更大,因此我们从下图能够看到对于所有的电池充电倍率越大,则电池极化越大,恒压充电容量占比也就越高。从下图中我们能够看到电池的注液量越多则电池恒压充电容量占比越低,极化越小。

下图为不同注液量的电池在浸润后、化成后、排气后和循环后的高频阻抗变化,从下图能够看到整体上随着电池注液量增加,电池的高频阻抗是在不断降低的,为了保证电池的性能和循环寿命,电池的注液量应该在1.4左右。

从Florian J. Gu?nter的工作我们可以看到对于锂离子电池并不是电解液越多越好,电解液过多时其中过量的成膜添加剂会不断消耗电池中的活性Li成分,从而引起锂离子电池容量衰降加速,而电解液数量过少则会导致活性物质浸润不充分,从而导致部分活性物质无法参与反应,从而严重影响循环寿命,因此合适的电解液量不仅有利于提升能量密度和降低成本,对于提升锂离子电池的循环寿命同样有重要的作用。


- 最新评论
- 我的评论